你好,欢迎来到中华试剂网 购试剂 买耗材! [请登录][注册有惊喜]

货号快速下单 | 签到送积分   | 会员中心 | 客服热线:400-021-2765

4-氨基喹哪啶的合成路线有哪些?

提问时间:2021/4/22 10:10:22
4-氨基喹哪啶有什么方法可以合成?

1条回复:

匿名
2021/4/22 10:10:22
基本信息:
中文名称 4-氨基喹哪啶
中文别名 4-氨基-2-甲基喹啉;2-甲基喹啉-4-胺;4-氨基-2-甲基可尼汀;4-氨基-2-甲基喹啉;4-氨基喹那啶;
英文名称 4-Amino-2-methylquinoline
英文别名 4-Aminoquinaldine;
CAS号 6628-04-2

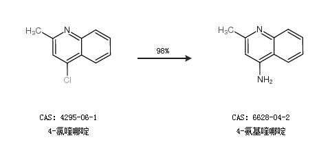
合成路线:
1.通过4-氯喹哪啶合成4-氨基喹哪啶,收率约98%;


2.通过4-溴-2-甲基喹啉合成4-氨基喹哪啶,收率约80%;


合成路线仅供参考
回复