你好,欢迎来到中华试剂网 购试剂 买耗材! [请登录][注册有惊喜]

货号快速下单 | 签到送积分   | 会员中心 | 客服热线:400-021-2765

三(4-氨基苯基)胺的合成路线有哪些?

提问时间:2021/4/22 10:10:22
三(4-氨基苯基)胺有什么方法可以合成?

1条回复:

匿名
2021/4/22 10:10:22
基本信息:
中文名称 三(4-氨基苯基)胺
中文别名 N,N-双(4-氨基苯基)-1,4-苯二胺;三(4-氨苯基)胺;
英文名称 Tris(4-aminophenyl)amine
英文别名 4-N,4-N-bis(4-aminophenyl)benzene-1,4-diamine;
CAS号 5981-09-9

合成路线:
1.通过三(4-硝基苯基)胺合成三(4-氨基苯基)胺,收率约93%;


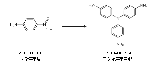
2.通过4-硝基苯胺合成三(4-氨基苯基)胺


合成路线仅供参考
回复