你好,欢迎来到中华试剂网 购试剂 买耗材! [请登录][注册有惊喜]

货号快速下单 | 签到送积分   | 会员中心 | 客服热线:400-021-2765

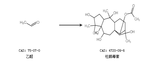
杜鹃毒素的合成路线有哪些?

提问时间:2021/4/22 10:10:22
杜鹃毒素有什么方法可以合成?

1条回复:

匿名
2021/4/22 10:10:22
基本信息:
中文名称 杜鹃毒素
英文名称 grayanotoxin I
英文别名 acteylandromedol;asebotoxin;rhodotoxine;GRAYANOTOXIN 1;ANDROMEDOTOXIN;acetylandromedol;acetyllandromedol;g-i;Grayanotoxin-I;rhodotoxin;
CAS号 4720-09-6

合成路线:
1.通过乙醛合成杜鹃毒素


合成路线仅供参考
回复