基本信息:
中文名称 四乙基溴化鏻
中文别名 1,6,20,25-四氮杂[6,1,6,1]环苯;
英文名称 tetraethylphosphanium,bromide
英文别名 Tetraaethyl-phosphonium,Bromid;Hishicolin PX 2B;TetraethylphosphoniuM BroMide;tetraethyl-phosphonium,bromide;Tetra-aethyl-phosphonium;PX 2B;
CAS号 4317-07-1
合成路线:
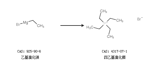
1.通过乙基溴化镁合成四乙基溴化鏻

2.通过四乙基碘化膦合成四乙基溴化鏻

合成路线仅供参考