基本信息:
中文名称 鼠尾草酸
英文名称 carnosic acid
英文别名 Salvin;Carsonic acid;Carnosic acid;Carnosic acid from Rosmarinus officinalis;Carnosic acid;(4aR,10aS)-5,6-dihydroxy-1,1-dimethyl-7-propan-2-yl-2,3,4,9,10,10a-hexahydrophenanthrene-4a-carboxylic acid;RoseOx;Carnosolic Acid;
CAS号 3650-09-7
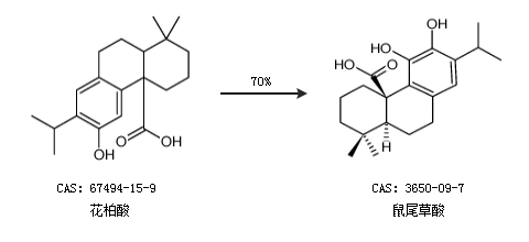
合成路线:
1.通过花柏酸合成鼠尾草酸,收率约70%;

合成路线仅供参考