基本信息:
中文名称 六苯基二铅
英文名称 triphenyllead
英文别名 Hexaphenyldilead(IV);hexaphenyldiplumbane;Hexaphenyldiblei;hexaphenylphenyldilead;Hexaphenyldiplumban;Diplumbane,hexaphenyl;Lead,hexaphenyldi;Dilead,hexaphenyl;Hexaphenyldilead;EINECS 221-505-4;
CAS号 3124-01-4
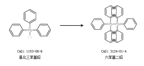
合成路线:
1.通过氯化三苯基铅合成六苯基二铅

2.通过四苯基铅合成六苯基二铅

合成路线仅供参考