你好,欢迎来到中华试剂网 购试剂 买耗材! [请登录][注册有惊喜]

货号快速下单 | 签到送积分   | 会员中心 | 客服热线:400-021-2765

DL-alpha-氨基辛二酸的合成路线有哪些?

提问时间:2021/4/22 10:10:22
DL-alpha-氨基辛二酸有什么方法可以合成?

1条回复:

匿名
2021/4/22 10:10:22
基本信息:
中文名称 DL-alpha-氨基辛二酸
中文别名 (2R)-2-氨基辛二酸;
英文名称 (2R)-2-azaniumyloctanedioate
英文别名 DL-2-aminosuberic acid;2-amino-octanedioic acid;2-aminosuberic acid;
CAS号 3054-07-7

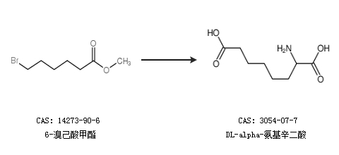
合成路线:
1.通过6-溴己酸甲酯合成DL-alpha-氨基辛二酸


2.通过五氯戊氰和乙酰胺基丙二酸二乙酯合成DL-alpha-氨基辛二酸


合成路线仅供参考
回复