基本信息:
中文名称 1,4,8-三羟基蒽酮
英文名称 1,4,5-trihydroxyanthraquinone
英文别名 1,4,5-trihydroxy-9,10-anthraquinone;1,4,5-Trihydroxy-9,10-anthrachinon;1,4,5-trihydroxyanthracene-9,10-dione;Anthraquinone,1,4,5-trihydroxy;1,4,5-trihydroxyanthraquibone;1,5-Trihydroxyanthraquinone;5-hydroxyquinizarin;5-hydroxyquinizarine;
CAS号 2961-04-8
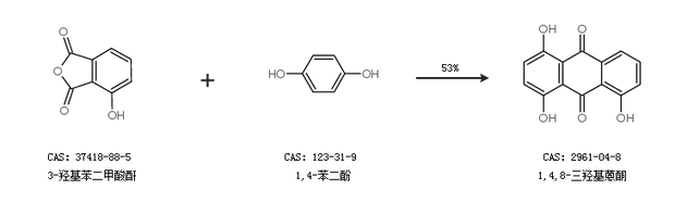
合成路线:
1.通过3-羟基苯二甲酸酐和1,4-苯二酚合成1,4,8-三羟基蒽酮,收率约53%;

2.通过1,8-二羟基蒽醌合成1,4,8-三羟基蒽酮

合成路线仅供参考