你好,欢迎来到中华试剂网 购试剂 买耗材! [请登录][注册有惊喜]

货号快速下单 | 签到送积分   | 会员中心 | 客服热线:400-021-2765

4-磺酰水杨酸的合成路线有哪些?

提问时间:2021/4/22 10:10:22
4-磺酰水杨酸有什么方法可以合成?

1条回复:

匿名
2021/4/22 10:10:22
基本信息:
中文名称 4-磺酰水杨酸
中文别名 4-磺酸基邻苯二甲酸;4-磺基邻苯二甲酸;
英文名称 4-Sulfophthalic acid
英文别名 4-SULFOPHTHALIC ACID;
CAS号 89-08-7

合成路线:
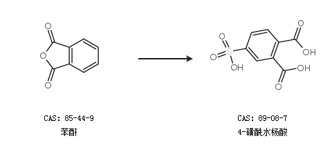
1.通过苯酐合成4-磺酰水杨酸


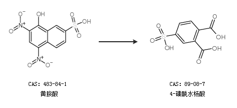
2.通过黄胺酸合成4-磺酰水杨酸


合成路线仅供参考
回复