基本信息:
中文名称 N,N-二乙基氯甲酰胺
中文别名 二乙基氨甲酰氯;N,N-二乙基氨基甲酰氯;二乙胺基甲酰氯;二乙氨基甲酰氯;二乙基氨基甲酰氯;
英文名称 Diethylcarbamyl chloride
英文别名 Carbamicchloride,diethyl;N,N-diethylaminocarbonyl chloride;Diethylcarbamyl chlo;N,N-diethylcarbamyl chloride;N,N-diethyl carbamoyl chloride;diethylaminocarbonyl chloride;DECC;N,N-Diethylchloroformamide;diethyl-carbamoylchlorid;N,N-diethylcarbamic acid chloride;diethylchloroformamide;Diethylcarbamic chloride;diethyl-carbamicchlorid;diethylcarbamic acid chloride;
CAS号 88-10-8
合成路线:
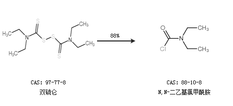
1.通过双硫仑合成N,N-二乙基氯甲酰胺,收率约88%;

2.通过氯羰基亚磺酰氯和二乙胺合成N,N-二乙基氯甲酰胺,收率约89%;

合成路线仅供参考