基本信息:
中文名称 4-溴苯基异硫氰酸酯
中文别名 4-溴苯基硫代异氰酸酯;4-溴异硫氰酸苯酯;异硫氰酸4-溴苯酯;
英文名称 1-bromo-4-isothiocyanatobenzene
英文别名 4-Bromophenyl Isothiocyanate;Isothiocyanic Acid 4-Bromophenyl Ester;Bromobenzene-4-isothiocyanate;para-bromophenyl isothiocyanate;Trichofytocid;1-bromo-4-isothiocyanato-benzene;ISOTHIOCYANIC ACID,p-BROMOPHENYL ESTER;p-Bromophenyl isothiocyanate;4-Bromophenyl isothiocyanate;Benzene,1-bromo-4-isothiocyanato;1-bromo-4-thiocyanato-benzene;
CAS号 1985-12-2
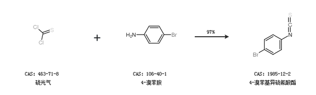
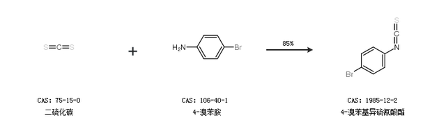
合成路线:
1.通过硫光气和4-溴苯胺合成4-溴苯基异硫氰酸酯,收率约97%;

2.通过二硫化碳和4-溴苯胺合成4-溴苯基异硫氰酸酯,收率约85%;

合成路线仅供参考