基本信息:
中文名称 3,5-二碘酪氨酸
中文别名 DL-3,5-二碘-4-羟基-Β-苯丙氨酸;3,5-二碘-DL-酪氨酸;
英文名称 3,5-Diiodo-DL-tyrosine
英文别名 DIT;Itir;diiodotyrosine;2-amino-3-(4-hydroxy-3,5-diiodophenyl)propanoic acid;L-Tyr(3'',5''-I2);4-hydroxy-3,5-diiodophenylalanine;jodgorgon;apothyrin;flaianina;cemiod;D/L-3,5-Diiodotyrosine;3,5-diiodotyrosine;
CAS号 66-02-4
合成路线:
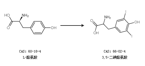
1.通过L-酪氨酸合成3,5-二碘酪氨酸

2.通过碘和L-酪氨酸合成3,5-二碘酪氨酸

合成路线仅供参考