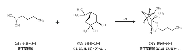
基本信息:
中文名称 正丁基硼酸(1S,2S,3R,5S)-(+)-2,3-蒎烷二醇酯
中文别名 (1S,2S,3R,5S)-(+)-2,3-蒎烷二醇丁基硼酸酯;
英文名称 (3aS,4S,6S,7aR)-2-Butyl-3a,5,5-trimethylhexahydro-4,6-methanobenzo[d][1,3,2]dioxaborole
英文别名 (s)-pinanediol butylboronate;
CAS号 85167-10-8
合成路线:
1.通过正丁基硼酸和(1S,2S,3R,5S)-(+)-2,3-蒎烷二醇合成正丁基硼酸(1S,2S,3R,5S)-(+)-2,3-蒎烷二醇酯,收率约10%;

合成路线仅供参考