基本信息:
中文名称 异麦芽糖
中文别名 低聚异麦芽糖;6-葡萄糖-Α-葡萄糖苷;6-O-α-D-Glucopyranosyl-D-glucose;6-O-Α-D-吡喃葡糖基-D-葡萄糖;
英文名称 ISOMALTOSE
英文别名 A-1,6-GLUCOBIOSE;6-O-Alpha-D-Glucopyranosyl-D-Glucose;D-IsoMaltose;6-O-α-D-Glucopyranosyl-D-glucose;α-1,6-Glucobiose;Brachiose;6-O-A-D-GLUCOPYRANOSYL-D-GLUCOSE;
CAS号 499-40-1
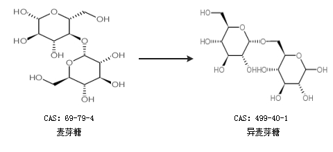
合成路线:
1.通过D-(+)-葡萄糖合成异麦芽糖

2.通过麦芽糖合成异麦芽糖

合成路线仅供参考