你好,欢迎来到中华试剂网 购试剂 买耗材! [请登录][注册有惊喜]

货号快速下单 | 签到送积分   | 会员中心 | 客服热线:400-021-2765

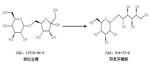
异麦芽糖醇的合成路线有哪些?

提问时间:2021/4/21 17:43:43
异麦芽糖醇有什么方法可以合成?

1条回复:

匿名
2021/4/21 17:43:43
基本信息:
中文名称 异麦芽糖醇
英文名称 6-[3,4,5-trihydroxy-6-(hydroxymethyl)oxan-2-yl]oxyhexane-1,2,3,4,5-pentol
英文别名 ISOMALTITOLE;Isomaltitol;6-O-|A-D-Glucopyranosyl-D-glucitol;
CAS号 534-73-6

合成路线:
1.通过帕拉金糖合成异麦芽糖醇


2.通过钌催化剂和帕拉金糖合成异麦芽糖醇


合成路线仅供参考
回复