你好,欢迎来到中华试剂网 购试剂 买耗材! [请登录][注册有惊喜]

货号快速下单 | 签到送积分   | 会员中心 | 客服热线:400-021-2765

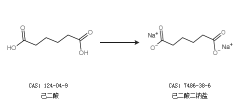
已二酸二钠盐的合成路线有哪些?

提问时间:2021/4/21 17:43:43
已二酸二钠盐有什么方法可以合成?

1条回复:

匿名
2021/4/21 17:43:43
基本信息:
中文名称 已二酸二钠盐
中文别名 己二酸二钠;
英文名称 Adipic Acid Disodium Salt
英文别名 ADIPIC ACID DISODIUM SALT;
CAS号 7486-38-6

合成路线:
1.通过己二酸合成已二酸二钠盐


合成路线仅供参考
回复