基本信息:
中文名称 乙基2-氧代-2-[3-(三氟甲基)苯胺]乙酸酯
英文名称 ethyl 2-oxo-2-[3-(trifluoromethyl)anilino]acetate
英文别名 3''-Trifluoromethyloxanilic acid ethyl ester;ethyl 3''-(trifluoromethyl)oxanilate;ethyl 2-oxo-2-(3-trifluoromethylphenylamino)acetate;ethyl oxo{[3-(trifluoromethyl)phenyl]amino}acetate;
CAS号 17738-86-2
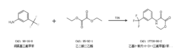
合成路线:
1.通过间氨基三氟甲苯和草酰氯单乙酯合成乙基2-氧代-2-[3-(三氟甲基)苯胺]乙酸酯,收率约99%;

2.通过间氨基三氟甲苯和乙二酸二乙酯合成乙基2-氧代-2-[3-(三氟甲基)苯胺]乙酸酯,收率约73%;

合成路线仅供参考