你好,欢迎来到中华试剂网 购试剂 买耗材! [请登录][注册有惊喜]

货号快速下单 | 签到送积分   | 会员中心 | 客服热线:400-021-2765

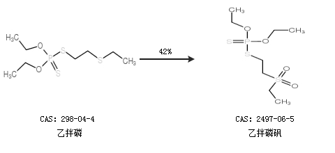
乙拌磷砜的合成路线有哪些?

提问时间:2021/4/21 17:43:43
乙拌磷砜有什么方法可以合成?

1条回复:

匿名
2021/4/21 17:43:43
基本信息:
中文名称 乙拌磷砜
英文名称 diethoxy-(2-ethylsulfonylethylsulfanyl)-sulfanylidene-λ<sup>5</sup>-phosphane
英文别名 Disyston sulfone;Disulfoton-sulfone;DISULFOTON SULFONE;
CAS号 2497-06-5

合成路线:
1.通过乙拌磷合成乙拌磷砜,收率约42%;


2.通过乙基乙烯基砜和O,O′-二乙基二硫代磷酸酯合成乙拌磷砜


合成路线仅供参考
回复