基本信息:
中文名称 颜料蓝60
中文别名 还原蓝 4;还原蓝RS;6,15-二氢二蒽并哒嗪-5,9,14,18-四酮;颜料蓝 GR;还原蓝RD;还原蓝RD;阴丹士林蓝;蒽醌蓝;阴丹酮;颜料蓝 60;阴丹酮;
英文名称 Vat Blue 4
英文别名 vatblueo;vat;e130;Blue 60;blueo;ponsolrp;Pigment Blue 60;l-blau1;indanthrone;6,15-dihydroanthrazine-5,9,14,18-tetrone;vatblueod;indanthrene;foodblue4;c.i.1106;anthraquinone blue;
CAS号 81-77-6
合成路线:
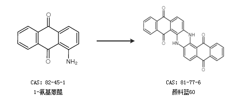
1.通过1-氨基蒽醌合成颜料蓝60

2.通过1-氨基蒽醌合成颜料蓝60

合成路线仅供参考