基本信息:
中文名称 亚胺培南
中文别名 6-(1-羟基乙基)-3-[[2-[(亚氨基甲基)氨基]乙基]硫]-7-氧代-1-氮杂双环[3.2.0]庚-2-烯-2-甲酸;亚安培南;(5R,6S)-6-[(1R)-1-羟乙基]-3-[[2-[(亚氨基甲基)氨基]乙基]硫代]-7-氧代-1-氮杂双环[3.2.0]庚-2-烯-2-羧酸单水合物;
英文名称 imipenem
英文别名 Imipenen;imipemide;N-Formimidoylthienamycin;Tienamycin;imipenam;LMipeneM;Imipenem;mk-787;N-Formimidoylthiena;
CAS号 64221-86-9
合成路线:
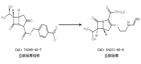
1.通过亚胺培南母核合成亚胺培南

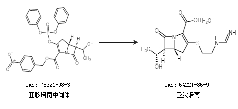
2.通过亚胺培南中间体合成亚胺培南

合成路线仅供参考