你好,欢迎来到中华试剂网 购试剂 买耗材! [请登录][注册有惊喜]

货号快速下单 | 签到送积分   | 会员中心 | 客服热线:400-021-2765

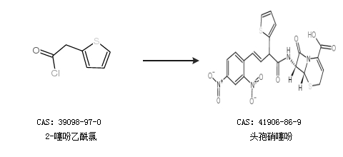
头孢硝噻吩的合成路线有哪些?

提问时间:2021/4/21 17:43:42
头孢硝噻吩有什么方法可以合成?

1条回复:

匿名
2021/4/21 17:43:42
基本信息:
中文名称 头孢硝噻吩
英文名称 NITROCEFIN
CAS号 41906-86-9

合成路线:
1.通过2-噻吩乙酰氯合成头孢硝噻吩


合成路线仅供参考
回复