基本信息:
中文名称 酸性紫9
英文名称 sodium 2-[3-(4-sulfonato-o-tolyliminio)-6-o-toluidino-3H-xanthen-9-yl]benzoate
英文别名 Acid Violet 9 (C.I.);C.I. Acid Violet 9;2-(2-oxo-2H-acenaphth-1-ylidene)benzo[b]thiophene-3(2H)-one;(Acenaphthen-(1))-(thionaphthen-(2))-indigo;Einecs 228-378-4;C.I.Vat Red 45;2-(1-Oxoacenaphthene-2-ylidene)benzo[b]thiophene-3(2H)-one;Vat Red 45;2-(2-Oxoacenaphthylen-1(2H)-ylidene)benzo[b]thiophen-3(2H)-one;2-(2-oxo-acenaphthen-1-ylidene)-benzo[b]thiophen-3-one;2-Thionaphthen-acenaphthylen-indigo;2-(2-Oxo-acenaphthen-1-yliden)-benzo[b]thiophen-3-on;1''-Acenaphthen-2-thianaphthenindigo;
CAS号 6252-78-4
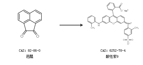
合成路线:
1.通过苊醌合成酸性紫9

2.通过3-羟基苯并噻吩和苊醌合成酸性紫9

合成路线仅供参考