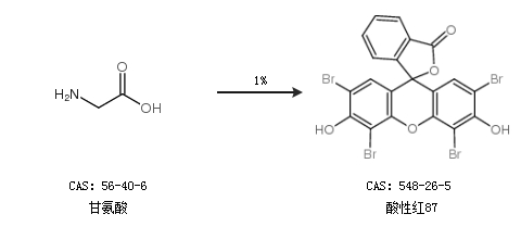
基本信息:
中文名称 酸性红87
中文别名 伊红Y(醇溶);溶剂红45;弱酸红 A;墨水红;
英文名称 Acid Red 87
英文别名 EOSIN YELLOW;EOSIN Y;D&C Red No. 22;bromofluoresceic acid;2'',4'',5'',7''-tetrabromofluorescein) disodium salt;eosin yellowish;Eosin;eosinesaltfree;bromox-100;EOSIN,ACID;Bromoeosine;fenazoeosinexg;tetrabromofluorescein;
CAS号 548-26-5
合成路线:
1.通过甘氨酸合成酸性红87,收率约1%;

2.通过L-苯丙氨酸合成酸性红87

合成路线仅供参考