基本信息:
中文名称 美拉诺坦 II
中文别名 醋酸美拉诺坦Ⅱ MELANOTANⅡACETATE;醋酸美拉诺坦Ⅱ MELANOTANII ACETATE(MT-2);醋酸美拉诺坦II;醋酸美拉诺坦II;Ac-[Nle4Asp5D-Phe7Lys10]α-MSH-(4-10)-NH2;美拉诺坦2;醋酸美拉诺坦醋酸;
英文名称 Melanotan II acetate salt
英文别名 (3S,6S,9R,12S,15S,23S)-15-[[(2S)-2-acetamidohexanoyl]amino]-9-benzyl-6-[3-(diaminomethylideneamino)propyl]-12-(1H-imidazol-5-ylmethyl)-3-(1H-indol-3-ylmethyl)-2,5,8,11,14,17-hexaoxo-1,4,7,10,13,18-hexazacyclotricosane-23-carboxamide;
CAS号 121062-08-6
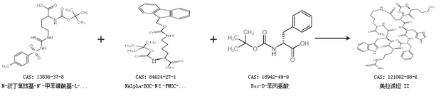
合成路线:
1.通过N-叔丁氧羰基-N''-甲苯磺酰基-L-精氨酸、NAlpha-BOC-Nε-FMOC-L-赖氨酸、Boc-D-苯丙氨酸和Nα-Boc-N1-甲酰-L-色氨酸合成美拉诺坦 II

2.通过N-叔丁氧羰基-N''-甲苯磺酰基-L-精氨酸、NAlpha-BOC-Nε-FMOC-L-赖氨酸和Boc-D-苯丙氨酸合成美拉诺坦 II

合成路线仅供参考