你好,欢迎来到中华试剂网 购试剂 买耗材! [请登录][注册有惊喜]

货号快速下单 | 签到送积分   | 会员中心 | 客服热线:400-021-2765

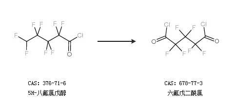
六氟戊二酰氯的合成路线有哪些?

提问时间:2021/4/21 17:43:40
六氟戊二酰氯有什么方法可以合成?

1条回复:

匿名
2021/4/21 17:43:40
基本信息:
中文名称 六氟戊二酰氯
中文别名 氯化六氟戊二酸;
英文名称 Hexafluoroglutaryl chloride
英文别名 2,2,3,3,4,4-hexafluoropentanedioyl dichloride;
CAS号 678-77-3

合成路线:
1.通过全氟戊二酸合成六氟戊二酰氯,收率约75%;


2.通过5H-八氟氯戊醇合成六氟戊二酰氯


合成路线仅供参考
回复