基本信息:
中文名称 2,7-二叔丁基-9-芴基甲醇
英文名称 (2,7-ditert-butyl-9H-fluoren-9-yl)methanol
英文别名 [2,7-di-(tert-butyl)-9H-fluoren-9-yl]methanol;2,7-Di-tert-butylfluorenylmethanol;2,7-Di-tert-butyl-9-fluorenylmethanol;
CAS号 136453-59-3
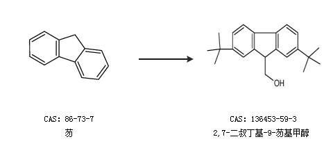
合成路线:
1.通过甲醛和2,7-二叔丁基芴合成2,7-二叔丁基-9-芴基甲醇,收率约61%;

2.通过芴合成2,7-二叔丁基-9-芴基甲醇

合成路线仅供参考