基本信息:
中文名称 2,6-二氯吡啶-4-甲醇
中文别名 2,6-二氯-4-吡啶甲醇;
英文名称 2,6-Dichloropyridine-4-methanol
英文别名 (2,6-Dichloro-4-pyridyl)methanol;(2,6-dichloropyridin-4-yl)methanol;2,6-Dichloro-4-(hydroxymethyl)pyridine;2,6-Dichloro-4-pyridinemethanol;
CAS号 101990-69-6
合成路线:
1.通过2,6-二氯异烟酸合成2,6-二氯吡啶-4-甲醇,收率约90%;

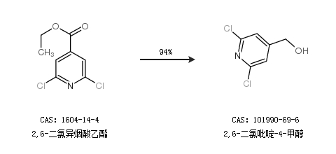
2.通过2,6-二氯异烟酸乙酯合成2,6-二氯吡啶-4-甲醇,收率约94%;

合成路线仅供参考