你好,欢迎来到中华试剂网 购试剂 买耗材! [请登录][注册有惊喜]

货号快速下单 | 签到送积分   | 会员中心 | 客服热线:400-021-2765

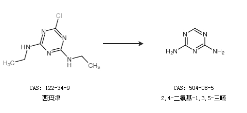
2,4-二氨基-1,3,5-三嗪的合成路线有哪些?

提问时间:2021/4/21 17:43:31
2,4-二氨基-1,3,5-三嗪有什么方法可以合成?

1条回复:

匿名
2021/4/21 17:43:31
基本信息:
中文名称 2,4-二氨基-1,3,5-三嗪
英文名称 1,3,5-triazine-2,4-diamine
英文别名 2,4-DiaMino-1,3,5-triazine;2,4-DIAMINO-1,3,5-TRIAZINE;
CAS号 504-08-5

合成路线:
1.通过1-氨基环己烷甲腈合成2,4-二氨基-1,3,5-三嗪,收率约36%;


2.通过西玛津合成2,4-二氨基-1,3,5-三嗪


合成路线仅供参考
回复