基本信息:
中文名称 2,3-二氢-1,4-苯并二恶-2-甲胺
中文别名 2-氨甲基-1,4-苯并二噁烷;2,3-二氢-1,4-苯并二氧-2-甲胺;2,3-二氢-1,4-苯并二氧杂芑-2-YL-甲胺;1,4-苯并二噁烷-2-甲胺;
英文名称 2,3-dihydro-1,4-benzodioxin-3-ylmethanamine
英文别名 2,3-Dihydro-1,4-benzodioxin-2-ylmethylamine;Fourneau 946;Aminomethylbenzodioxan;2-(3-CHLORO-4-FLUOROPHENOXY)ACETOHYDRAZIDE;2-aminomethylbenzodioxan;2-aminomethyl-1,4-benzodioxan;1-(2,3-dihydro-1,4-benzodioxin-2-yl)methylamine;2,3-dihydro-1,4-benzodioxin-2-ylmethylamine;1,4-BENZODIOXAN-2-METHYLAMINE;C-(2,3-dihydrobenzo[1,4]dioxin-2-yl)methylamine;LP 1 (pharmaceutical);2-aminomethyl-2,3-dihydro-1,4-benzodioxine;(2,3-dihydrobenzo[1,4]dioxin-2-ylmethyl)amine;2-aminomethylbenzodioxane;2,3-dihydro-1,4-benzodioxin-2-methanamine;LP 1;
CAS号 4442-59-5
合成路线:
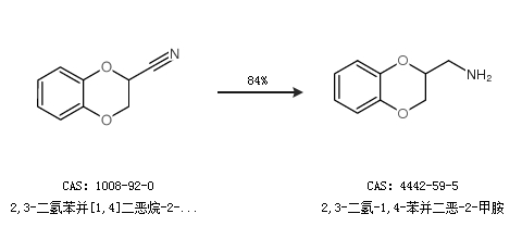
1.通过2,3-二氢苯并[1,4]二恶烷-2-甲腈合成2,3-二氢-1,4-苯并二恶-2-甲胺,收率约84%;

2.通过2-羟基甲基-1,4-苯二恶合成2,3-二氢-1,4-苯并二恶-2-甲胺,收率约87%;

合成路线仅供参考