基本信息:
中文名称 2,3-二氯-6,7-二硝基喹喔啉
中文别名 2,3-二氯-6,7-二硝基喹噁啉;
英文名称 2,3-DICHLORO-6,7-DINITROQUINOXALINE
英文别名 2,3-dichloro-5,6-dinitroquinoxaline;2,3-Dichlor-6,7-dinitro-chinoxalin;2,3-Dichlor-6-nitro-chinoxalin;2,3-dichloro-6,7-dinitro-quinoxaline;
CAS号 2379-61-5
合成路线:
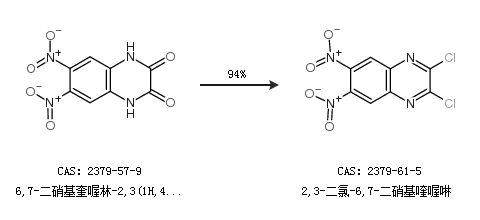
1.通过6,7-二硝基奎喔林-2,3(1H,4H)-二酮合成2,3-二氯-6,7-二硝基喹喔啉,收率约94%;

合成路线仅供参考