基本信息:
中文名称 2,3’,4,4’,6-五羟基二苯甲酮
中文别名 2,4,6,3'',4''-五羥二苯基酮;桑橙素;2,3`,4,4`,6-五羟基二苯甲酮;2,3'',4,4'',6-五羟基二苯甲酮;天然黄 11;黃木素;
英文名称 (3,4-dihydroxyphenyl)-(2,4,6-trihydroxyphenyl)methanone
英文别名 2,3'',4,4'',6-Pentahydroxybenzophenone;Morintannic acid;2,4,6,3'',4''-Pentahydroxy-benzophenon;Maklurin;2,4,6,3'',4''-pentahydroxy-benzophenone;morintanico acid;Laguncurin;3,4,2'',4'',6''-pentahydroxybenzophenone;Fustic extract;Moritannic acid;Kino-yellow;Patent Fustin;Maclurin;C.I. Natural Yellow 11;
CAS号 519-34-6
合成路线:
1.通过间苯三酚和3,4-二羟基苯腈合成2,3’,4,4’,6-五羟基二苯甲酮

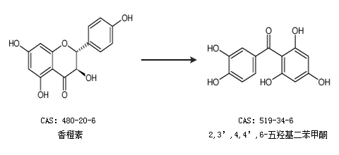
2.通过香橙素合成2,3’,4,4’,6-五羟基二苯甲酮

合成路线仅供参考