基本信息:
中文名称 2,3,4-三-O-乙酰基-α-D-木吡喃糖苷溴
中文别名 2,3,4-O-三乙酰基-beta-D-溴代木糖;2,3,4-O-三乙酰基-A-D-溴代木糖;
英文名称 Bromo 2,3,4-Tri-O-acetyl-α-D-xylopyranoside
英文别名 [(3R,4S,5R,6R)-4,5-diacetyloxy-6-bromooxan-3-yl] acetate;
CAS号 3068-31-3
合成路线:
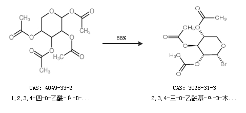
1.通过1,2,3,4-四-O-乙酰-β-D-吡喃木糖合成2,3,4-三-O-乙酰基-α-D-木吡喃糖苷溴,收率约88%;

2.通过L-(+)-阿拉伯糖合成2,3,4-三-O-乙酰基-α-D-木吡喃糖苷溴

合成路线仅供参考