你好,欢迎来到中华试剂网 购试剂 买耗材! [请登录][注册有惊喜]

货号快速下单 | 签到送积分   | 会员中心 | 客服热线:400-021-2765

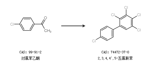
2,3,4,4'',5-五氯联苯的合成路线有哪些?

提问时间:2021/4/21 17:43:30
2,3,4,4'',5-五氯联苯有什么方法可以合成?

1条回复:

匿名
2021/4/21 17:43:30
基本信息:
中文名称 2,3,4,4'',5-五氯联苯
中文别名 2,3,4,4’,5-五氯联苯;
英文名称 2,3,4,4'',5-Pentachlorobiphenyl
英文别名 1,2,3,4-tetrachloro-5-(4-chlorophenyl)benzene;
CAS号 74472-37-0

合成路线:
1.通过对氯苯乙酮合成2,3,4,4'',5-五氯联苯


2.通过对氯碘苯合成2,3,4,4'',5-五氯联苯


合成路线仅供参考
回复