基本信息:
中文名称 2,2''-二硫双(5-硝基吡啶)
中文别名 2,2’-二硫双(5-硝基吡啶);
英文名称 5-nitro-2-[(5-nitropyridin-2-yl)disulfanyl]pyridine
英文别名 5,5''-dinitro-2,2''-dithiodipyridine;1,2-bis(5-nitropyridin-2-yl)disulfane;EINECS 218-344-7;2,2''-DIMETHYL-4,4''-BIPHENYLDIOL;2,2''-Dithiobis(5-nitropyridine);5-nitro-pyridin-2-yl disulphide;Bis(5-nitro-2-pyridyl) disulfide;Bis(5-nitro-2-pyridyl) disulfide,DTNP;bis(5-nitro-pyridin-2-yl)-disulfide;DTNP;1,2-Bis(5-nitropyridin-2-yl)disulfane;
CAS号 2127-10-8
合成路线:
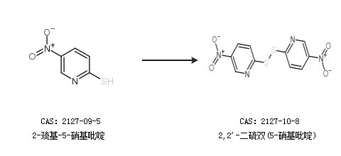
1.通过2-巯基-5-硝基吡啶合成2,2''-二硫双(5-硝基吡啶)

2.通过2-氯-5-硝基吡啶合成2,2''-二硫双(5-硝基吡啶)

合成路线仅供参考