基本信息:
中文名称 2,2,3,3-四甲基环丙烷羧酸乙酯
英文名称 ethyl 2,2,3,3-tetramethylcyclopropane-1-carboxylate
英文别名 Ethyl 2,2,3,3-tetramethylcyclopropane-carboxylate;2,2,3,3-tetramethylcyclopropanecarboxylic acid ethyl ester;
CAS号 771-10-8
合成路线:
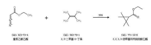
1.通过重氮乙酸乙酯和2,3-二甲基-2-丁烯合成2,2,3,3-四甲基环丙烷羧酸乙酯,收率约55%;

2.通过乙醇和2,2,3,3-四甲基环丙甲酸合成2,2,3,3-四甲基环丙烷羧酸乙酯

合成路线仅供参考