你好,欢迎来到中华试剂网 购试剂 买耗材! [请登录][注册有惊喜]

货号快速下单 | 签到送积分   | 会员中心 | 客服热线:400-021-2765

2-(5-溴-2-氟苯基)-2-氧代乙酸乙酯的合成路线有哪些?

提问时间:2021/4/21 17:43:30
2-(5-溴-2-氟苯基)-2-氧代乙酸乙酯有什么方法可以合成?

1条回复:

匿名
2021/4/21 17:43:30
基本信息:
中文名称 2-(5-溴-2-氟苯基)-2-氧代乙酸乙酯
英文名称 ethyl 2-(5-bromo-2-fluorophenyl)-2-oxoacetate
CAS号 668969-68-4

合成路线:
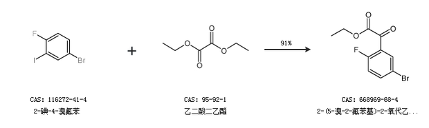
1.通过2-碘-4-溴氟苯和乙二酸二乙酯合成2-(5-溴-2-氟苯基)-2-氧代乙酸乙酯,收率约91%;


2.通过乙二酸二乙酯和对溴氟苯合成2-(5-溴-2-氟苯基)-2-氧代乙酸乙酯


合成路线仅供参考
回复