基本信息:
中文名称 2-(4-羟基苯氧基)乙酸叔丁酯
英文名称 tert-Butyl 2-(4-hydroxyphenoxy)acetate
英文别名 tert.-Butyl-2-(p-hydroxyphenoxy)-acetat;tert-butyl(4-hydroxyphenoxy)acetate;tert-butyl 2-(4-hydroxyphenoxy)ethanoate;tertbutylhydroxyphenoxyacetate;(4-hydroxy-phenoxy)-acetic acid tert-butyl ester;
CAS号 42806-92-8
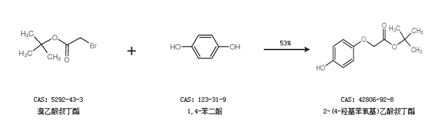
合成路线:
1.通过溴乙酸叔丁酯和1,4-苯二酚合成2-(4-羟基苯氧基)乙酸叔丁酯,收率约53%;

合成路线仅供参考