基本信息:
中文名称 2-(1H-1,3-苯并咪唑-2-基)乙酸乙酯
中文别名 2-苯并咪唑乙酸乙酯;2-苯并咪唑乙酸乙酯;(1H-苯并咪唑-2-基)-乙酸乙酯;
英文名称 ethyl 2-(1H-benzimidazol-2-yl)acetate
英文别名 ethyl benzimidazole-2-acetate;ethyl 2-benzimidazol-2-ylacetate;ethyl 1H-benzimidazol-2-ylacetate;
CAS号 14741-71-0
合成路线:
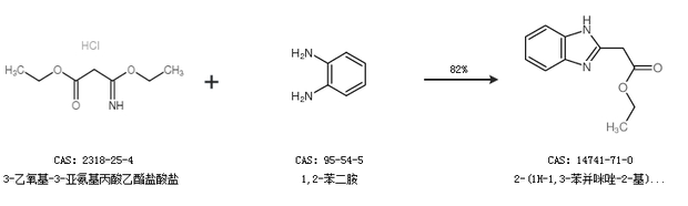
1.通过3-乙氧基-3-亚氨基丙酸乙酯盐酸盐和1,2-苯二胺合成2-(1H-1,3-苯并咪唑-2-基)乙酸乙酯,收率约82%;

2.通过β-乙氧基-β-亚氨基丙酸乙酯和1,2-苯二胺合成2-(1H-1,3-苯并咪唑-2-基)乙酸乙酯,收率约81%;

合成路线仅供参考