你好,欢迎来到中华试剂网 购试剂 买耗材! [请登录][注册有惊喜]

货号快速下单 | 签到送积分   | 会员中心 | 客服热线:400-021-2765

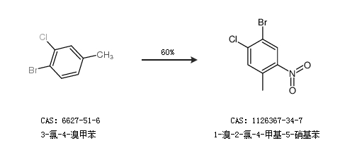
1-溴-2-氯-4-甲基-5-硝基苯的合成路线有哪些?

提问时间:2021/4/21 17:43:29
1-溴-2-氯-4-甲基-5-硝基苯有什么方法可以合成?

1条回复:

匿名
2021/4/21 17:43:29
基本信息:
中文名称 1-溴-2-氯-4-甲基-5-硝基苯
英文名称 1-Bromo-2-chloro-4-methyl-5-nitrobenzene
英文别名 1-Bromo-2-chloro-4-methyl-5-nitro-benzene;
CAS号 1126367-34-7

合成路线:
1.通过3-氯-4-溴甲苯合成1-溴-2-氯-4-甲基-5-硝基苯,收率约60%;


合成路线仅供参考
回复