基本信息:
中文名称 1-苯氧基-2-丙醇
中文别名 苯氧异丙醇;丙二醇苯醚;
英文名称 1-Phenoxy-2-propanol
英文别名 DOWANOL(TM) PPH;propylene glycol monophenylether;propylene glycol phenyl ether;PROPYLENE PHENOXYTOL;AURORA KA-7000;1-phenoxy-2-propano;1-methyl-2-phenoxy ethanol;propylenephenoxetol;phenoxyisopropanol;Propylenephenoxythol;1-methyl-2-(phenoxy)ethan-1-ol;PHENOXY PROPANOL;1-phenoxypropan-2-ol;
CAS号 770-35-4
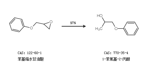
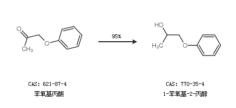
合成路线:
1.通过苯基缩水甘油醚合成1-苯氧基-2-丙醇,收率约97%;

2.通过苯氧基丙酮合成1-苯氧基-2-丙醇,收率约95%;

合成路线仅供参考