基本信息:
中文名称 1,3-双(双((1H-苯并[d]咪唑-2-基)甲基)氨基)丙烷-2-醇
中文别名 1,3-二{[二(苯并咪唑-2-)甲基]胺}异丙醇;
英文名称 1,3-bis[bis(1H-benzimidazol-2-ylmethyl)amino]propan-2-ol
英文别名 1,3-Bis(bis((1H-benzo[d]imidazol-2-yl)methyl)amino)propan-2-ol;N,N,N'',N''-tetrakis(2-methylenebenzimidazolyl)-1,3-diaminopropan-2-ol;N,N,N'',N''-tetrakis(2-benzimidazolylmethyl)-2-hydroxo-1,3-diaminopropane;N,N,N'',N''-Tetrakis(2-benzimidazolylmethyl)-1,3-diaminopropan-2-ol;N,N,N'',N''-tetrakis(2-benzimidazolylmethyl)-2-hydroxy-1,3-diaminopropane;
CAS号 83144-89-2
合成路线:
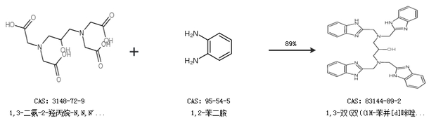
1.通过1,3-二氨-2-羟丙烷-N,N,N'',N''-四乙酸和1,2-苯二胺合成1,3-双(双((1H-苯并[d]咪唑-2-基)甲基)氨基)丙烷-2-醇,收率约89%;

2.通过1,2-苯二胺合成1,3-双(双((1H-苯并[d]咪唑-2-基)甲基)氨基)丙烷-2-醇

合成路线仅供参考