基本信息:
中文名称 1,3-二乙基-5-亚硝基-6-氨基脲嘧啶
中文别名 1,3-二乙基-5-亚硝基-6-氨基尿嘧啶;
英文名称 6-Amino-1,3-diethyl-5-nitrosopyrimidine-2,4(1H,3H)-dione
英文别名 6-amino-1,3-diethyl-5-nitrosopyrimidine-2,4-dione;
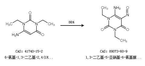
CAS号 89073-60-9
合成路线:
1.通过6-氨基-1,3-二乙基-2,4(1H,3H)-嘧啶二酮合成1,3-二乙基-5-亚硝基-6-氨基脲嘧啶,收率约86%;

2.通过1,3-二乙基脲合成1,3-二乙基-5-亚硝基-6-氨基脲嘧啶

合成路线仅供参考