你好,欢迎来到中华试剂网 购试剂 买耗材! [请登录][注册有惊喜]

货号快速下单 | 签到送积分   | 会员中心 | 客服热线:400-021-2765

1,3-二氯-2,2-二甲基丙烷的合成路线有哪些?

提问时间:2021/4/21 17:43:28
1,3-二氯-2,2-二甲基丙烷有什么方法可以合成?

1条回复:

匿名
2021/4/21 17:43:28
基本信息:
中文名称 1,3-二氯-2,2-二甲基丙烷
英文名称 1,2-dichloropentane
英文别名 1,2-dichloro-pentane;Pentane,1,2-dichloro;1,2-dichloro-n-pentane;1,2-Dichlor-pentan;
CAS号 1674-33-5

合成路线:
1.通过正戊烯合成1,3-二氯-2,2-二甲基丙烷


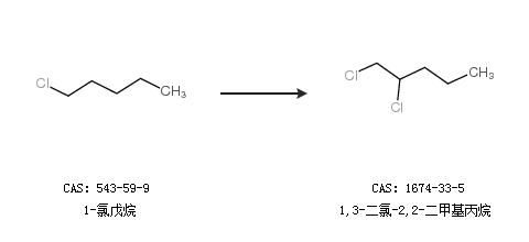
2.通过1-氯戊烷合成1,3-二氯-2,2-二甲基丙烷


合成路线仅供参考
回复