基本信息:
中文名称 1-(4-[(2,4-二氯苄基)氧基]苯基)-1-乙醇
英文名称 1-[4-[(2,4-dichlorophenyl)methoxy]phenyl]ethanol
英文别名 1-(4-[(2,4-DICHLOROBENZYL)OXY]PHENYL)-1-ETHANOL;dichlorobenzyloxyphenylethanol;1-{4-[(2,4-dichlorophenyl)methoxy]phenyl}ethanol;
CAS号 61292-28-2
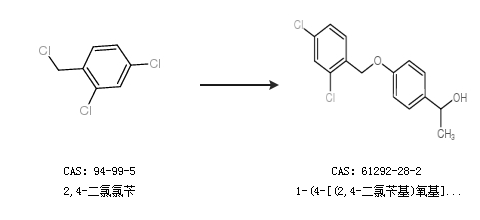
合成路线:
1.通过2,4-二氯氯苄合成1-(4-[(2,4-二氯苄基)氧基]苯基)-1-乙醇

2.通过对羟基苯乙酮合成1-(4-[(2,4-二氯苄基)氧基]苯基)-1-乙醇

合成路线仅供参考