基本信息:
中文名称 1-(3-溴苯基)-1,3-丁二酮
中文别名 (4-溴苯甲酰基)丙酮;
英文名称 1-(4-Bromophenyl)-1,3-butanedione
英文别名 (4-Bromobenzoyl)acetone;1-(4-bromophenyl)butane-1,3-dione;
CAS号 4023-81-8
合成路线:
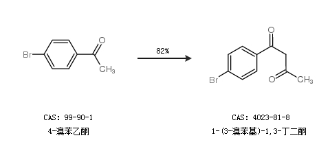
1.通过4-溴苯乙酮和乙酸乙酯合成1-(3-溴苯基)-1,3-丁二酮

2.通过4-溴苯乙酮合成1-(3-溴苯基)-1,3-丁二酮,收率约82%;

合成路线仅供参考