你好,欢迎来到中华试剂网 购试剂 买耗材! [请登录][注册有惊喜]

货号快速下单 | 签到送积分   | 会员中心 | 客服热线:400-021-2765

(R)-3-氨基-3-(4-溴苯基)丙酸的合成路线有哪些?

提问时间:2021/4/21 17:43:27
(R)-3-氨基-3-(4-溴苯基)丙酸有什么方法可以合成?

1条回复:

匿名
2021/4/21 17:43:27
基本信息:
中文名称 (R)-3-氨基-3-(4-溴苯基)丙酸
英文名称 (R)-3-Amino-3-(4-bromophenyl)propanoic acid
英文别名 (3R)-3-amino-3-(4-bromophenyl)propanoic acid;
CAS号 479074-63-0

合成路线:
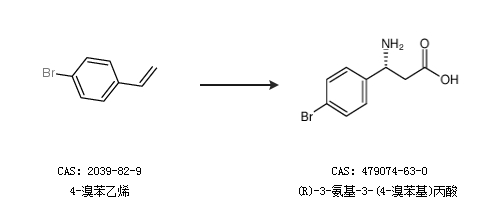
1.通过4-溴苯乙烯合成(R)-3-氨基-3-(4-溴苯基)丙酸


2.通过4-溴肉桂酸合成(R)-3-氨基-3-(4-溴苯基)丙酸


合成路线仅供参考
回复