你好,欢迎来到中华试剂网 购试剂 买耗材! [请登录][注册有惊喜]

货号快速下单 | 签到送积分   | 会员中心 | 客服热线:400-021-2765

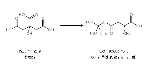
(R)-2-甲基琥珀酸-4-叔丁酯的合成路线有哪些?

提问时间:2021/4/21 17:43:27
(R)-2-甲基琥珀酸-4-叔丁酯有什么方法可以合成?

1条回复:

匿名
2021/4/21 17:43:27
基本信息:
中文名称 (R)-2-甲基琥珀酸-4-叔丁酯
中文别名 (R)-2-甲基琥珀酸 4-叔丁酯;(2R)-2-甲基丁二酸 4-叔丁酯;
英文名称 (2R)-2-methyl-4-[(2-methylpropan-2-yl)oxy]-4-oxobutanoic acid
英文别名 SC3741;
CAS号 185836-75-3

合成路线:
1.通过叔丁醇钾合成(R)-2-甲基琥珀酸-4-叔丁酯


2.通过柠檬酸合成(R)-2-甲基琥珀酸-4-叔丁酯


合成路线仅供参考
回复