基本信息:
中文名称 (3R)-3-{[(苄氧基)羰基]氨基}-4-(羟基甲基)吡咯烷-1-羧酸叔丁酯
英文名称 tert-butyl (3R)-3-(benzyloxycarbonylamino)-4-(hydroxymethyl)pyrro lidine-1-carboxylate
英文别名 (3R,4R)-tert-butyl 3-(benzyloxycarbonyl)amino-4-(hydroxymethyl)pyrrolidine-1-carboxylate;2H-Pyran-3-carboxylic acid,4-aminotetrahydro-,methyl ester,(3R,4R);(3R,4R)-4-AMINOTETRAHYDROPYRAN-3-CARBOXYLIC ACID METHYL ESTER;(3R,4R)-methyl 4-aminotetrahydro-2H-pyran-3-carboxylate;
CAS号 623582-53-6
合成路线:
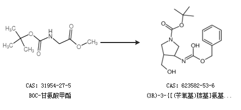
1.通过BOC-甘氨酸甲酯合成(3R)-3-{[(苄氧基)羰基]氨基}-4-(羟基甲基)吡咯烷-1-羧酸叔丁酯

合成路线仅供参考