基本信息:
中文名称 (3,5-二甲基异恶唑-4-基)乙酸
中文别名 (3,5-二甲基-4-异噁唑)-乙酸;
英文名称 2-(3,5-dimethyl-1,2-oxazol-4-yl)acetic acid
英文别名 3.5-Dimethyl-isoxazol-essigsaeure-(4);2-(3,5-dimethylisoxazol-4-yl)acetic acid;(3,5-dimethyl-4-isoxazolyl)acetic acid;(3,5-dimethyl-1,2-oxazol-4-yl)acetic acid;(3,5-dimethylisoxazol-4-yl)-acetic acid;(3,5-Dimethyl-isoxazol-4-yl)-essigsaeure;
CAS号 2510-27-2
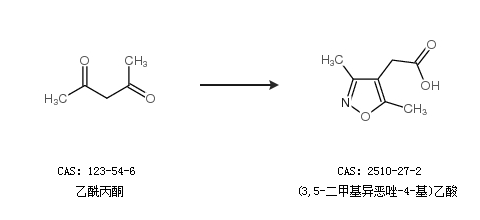
合成路线:
1.通过乙酰丙酮合成(3,5-二甲基异恶唑-4-基)乙酸

2.通过4-乙酰基-5-羰基己酸甲酯合成(3,5-二甲基异恶唑-4-基)乙酸

合成路线仅供参考