基本信息:
中文名称 (2S,4R)-N-Boc-4-甲基吡咯烷-2-甲酸
中文别名 (2S,4R)-N-叔丁氧羰基-4-甲基吡咯烷-2-甲酸;2S,4R)-N-Boc-4-甲基吡咯烷-2-甲酸;
英文名称 (2S,4R)-4-methyl-1-[(2-methylpropan-2-yl)oxycarbonyl]pyrrolidine-2-carboxylic acid
英文别名 (2S,4R)-1-(TERT-BUTOXYCARBONYL)-4-METHYLPYRROLIDINE-2-CARBOXYLIC ACID;(4R)-1-Boc-4-Methyl-L-proline;trans-1-(tert-Butoxycarbonyl)-4-methyl-L-proline;N-tert-butyloxycarbonyl-(2S,4R)-4-methylproline;(2S,4R)-N-tert-butyloxycarbonyl-4-methylproline;
CAS号 364750-80-1
合成路线:
1.通过Boc-反-4-羟基-L-脯氨酸醇合成(2S,4R)-N-Boc-4-甲基吡咯烷-2-甲酸

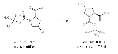
2.通过Boc-L-羟脯氨酸合成(2S,4R)-N-Boc-4-甲基吡咯烷-2-甲酸

合成路线仅供参考